Tradicionalmente, la calidad de vida relacionada con la salud (CVRS) de los pacientes con lupus eritematoso sistémico (LES) ha sido evaluada utilizando instrumentos que desatienden las características específicas de la enfermedad. Este estudio determina la validez del cuestionario Lupus Quality of Life (LupusQoL) como instrumento psicométricamente estable para medir la CVRS de los pacientes con LES en Venezuela, y establece los puntos de corte del cuestionario para la población venezolana.
Pacientes y métodosSe realizó un estudio de corte transversal que incluyó pacientes con LES desde abril hasta julio de 2018. Los pacientes completaron el LupusQoL y la escala Generalitat de Catalunya (GENCAT); se obtuvieron los datos sociodemográficos, índices de actividad (SLEDAI) y daño acumulado (SLICC). Se evaluó la fiabilidad mediante consistencia interna y se determinó la validez convergente del LupusQoL con la escala GENCAT.
ResultadosDe los 100 pacientes, el 93% eran mujeres, la media de edad fue de 42años (DE: 13) y la media de duración de la enfermedad fue de 11años (DE: 9); la media de SLEDAI y SLICC fue de 3 y 1, respectivamente. El punto de corte que definió una «mejor» o «peor» CVRS para el LupusQoL fue 64,55 puntos. Se encontró una convergencia moderada posterior a la agrupación, según los puntos de corte, del LupusQoL con la escala GENCAT (coeficiente kappa de Cohen=0,556; p=0,000).
ConclusionesEl LupusQoL es válido como instrumento psicométricamente estable para medir la CVRS de los pacientes con LES en Venezuela. Se establecieron los puntos de corte que permiten estratificar la CVRS de los pacientes venezolanos con LES, siendo de utilidad para complementar una evaluación integral.
Traditionally, the health-related quality of life (HRQoL) of patients with systemic lupus erythematosus (SLE) has been assessed using instruments that neglect the specific characteristics of the disease. This study determines the validity of the Lupus Quality of Life (LupusQoL) questionnaire as a psychometrically stable instrument to measure the HRQoL of patients with SLE in Venezuela and establishes the cutoff points of the questionnaire for the Venezuelan population.
Patients and methodsA cross-sectional study was conducted that included patients with SLE from April to July 2018. Patients completed the LupusQoL and the Generalitat de Catalunya (GENCAT) scale; sociodemographic data, activity index (SLEDAI) and accumulated damage (SLICC), were obtained. Reliability was evaluated by internal consistency and the convergent validity of the LupusQoL was determined with the GENCAT scale.
ResultsOf the 100 patients, 93% were women, the mean age was 42years old (SD: 13) and the mean duration of the disease was 11years (SD: 9); the mean of SLEDAI and SLICC was 3 and 1, respectively. The cutoff point that defined a “better” or “worse” HRQoL for LupusQoL was 64.55 points. A moderate convergence was found after grouping, according to the cutoff points, of the LupusQoL with the GENCAT scale (Cohen's kappa coefficient=.556; p=.000).
ConclusionsThe LupusQoL is a valid psychometrically stable instrument to measure the HRQoL of patients with SLE in Venezuela. Cutoff points were established to stratify the HRQoL in the Venezuelan population with LES, being useful to complement a comprehensive evaluation.
El lupus eritematoso sistémico (LES) es una enfermedad autoinmune, crónica y de etiología desconocida cuya presentación clínica y gravedad son variables; presenta un patrón de evolución tipo remitente-recidivante caracterizado por períodos de remisión y actividad1. La esperanza de vida de los pacientes con LES ha mejorado por la precocidad diagnóstica y mejores estrategias terapéuticas; sin embargo, el uso de medicamentos no exentos de toxicidad, sumado a las propias manifestaciones de la enfermedad, perjudican significativamente la calidad de vida de estos pacientes2. La calidad de vida relacionada con la salud (CVRS) debe ser considerada tanto en el tratamiento y control adecuados de la enfermedad como en la evolución de los pacientes con LES3.
Diferentes estudios reportan que existe una peor CVRS en los pacientes con LES comparado con las personas sanas y de manera similar —o a veces peor— con otros enfermos crónicos4-7. Según Testa8, medir la CVRS permite describir una condición o estado de salud, señalar cambios en el funcionamiento del paciente, proveer un pronóstico o establecer normas de referencia. La CVRS de los pacientes con LES ha sido evaluada a través de dos tipos de instrumentos9: los cuestionarios genéricos, como el Medical Outcome Survey Short Form 36 (MOSSF-36) y el European Quality of Life Questionnaire-5 Dimensions (EQ-5D), que carecen de dominios específicos para LES; y los cuestionarios específicos, como el Systemic Lupus Erythematosus Quality of Life Questionnaire (SLEQOL), el Systemic Lupus Erythematosus Symptom Checklist (SSC), el Systemic Lupus Erythematosus Quality of Life Scale (L-QoL) y el Lupus Quality of Life (LupusQoL).
El LupusQoL ha sido validado mediante diversos estudios transversales y longitudinales en pacientes con LES2,10-19; sin embargo, no hay datos publicados que determinen la validez del cuestionario ni los valores límites para estratificar la CVRS en los pacientes venezolanos con LES. Por ello, y dada la importancia de medir la calidad de vida de estos pacientes, los objetivos de este estudio son determinar la validez del LupusQoL como instrumento psicométricamente estable para medir la CVRS de los pacientes venezolanos con LES y establecer los puntos de corte del cuestionario para la población venezolana. Elegimos este instrumento específico porque sus ítems se basan en la percepción de la CVRS de los propios pacientes con LES; da una puntuación por dominios con mayor sensibilidad, especificidad y capacidad de respuesta (sensibilidad al cambio) que los cuestionarios genéricos, y su desarrollo y validación evidencian que tiene propiedades psicométricas estables10,20. La estandarización de esta técnica permitirá a los investigadores y al personal de salud analizar objetivamente la CVRS de los pacientes venezolanos con LES y utilizar esta información para mejorar la calidad de la atención médica proporcionada a estos pacientes. Adicionalmente, este método podría ser adoptado por otras naciones de las Américas con poblaciones de pacientes similares.
Materiales y métodosPacientes y diseño del estudioSe realizó un estudio de corte transversal en el que fueron incluidos pacientes con LES adscritos a la Consulta Externa de la Unidad de Reumatología del Complejo Hospitalario Universitario «Ruíz y Páez» y del Centro Clínico Universitario de Oriente en Ciudad Bolívar, Venezuela, entre abril y julio de 2018, con al menos 4 criterios de clasificación del 1982 American College of Rheumatology21. Aquellos pacientes con diagnóstico adicional de otras enfermedades autoinmunes diferentes al LES fueron excluidos, excepto los pacientes con diagnóstico de síndrome antifosfolipídico.
Aspectos éticos y consentimiento informadoEl estudio fue realizado de acuerdo con los principios éticos para las investigaciones médicas en seres humanos de la Declaración de Helsinki22, con el correspondiente consentimiento informado firmado de todos los pacientes.
InstrumentosEl cuestionario LupusQoL10, consolidado como una medida de CVRS válida, confiable, derivada del paciente y específica de la enfermedad para adultos con diagnóstico de LES, contiene ocho dominios y un total de 34 ítems que son respondidos utilizando una escala de Likert de cinco puntos. Da una puntuación por dominios que va desde 0 (peor CVRS) hasta 100 (mejor CVRS), que se puede obtener si se sigue la siguiente fórmula: se suman las respuestas por dominio y se divide entre el número total de ítems de ese dominio, el valor resultante se divide entre 4 y luego se multiplica por 100. Se utilizó la versión traducida al español del LupusQoL; la licencia de uso se solicitó a través del sistema en línea de RWS Life Sciences, Inc.
El formulario de la escala «Generalitat de Catalunya»23 (GENCAT), instrumento de evaluación objetiva diseñado de acuerdo con los avances realizados sobre el modelo multidimensional de calidad de vida general propuesto por Schalock en 2002 y Verdugo en 2003; comprende ocho dimensiones y un total de 69 ítems que son respondidos utilizando una escala de frecuencia de cuatro opciones. La escala GENCAT es un instrumento válido y confiable23 que ha sido utilizado en estudios nacionales24,25 e internacionales26,27 para medir la calidad de vida en pacientes con LES.
La actividad y el daño acumulado de la enfermedad fueron calculados a través del Systemic Lupus Erythematosus Disease Activity Index28 (SLEDAI) y el Systemic Lupus International Collaborating Clinics29 (SLICC), respectivamente. El SLEDAI evalúa la actividad de la enfermedad en los últimos 10días e incluye 24 ítems que determinan manifestaciones específicas en 9 órganos o sistemas con una puntuación máxima de 10528. El SLICC evalúa daño irreversible de la enfermedad en los últimos 6meses e incluye 42 ítems que miden la afectación de 12 dominios con una puntuación máxima de 46 puntos29. Ambos modelos han demostrado ser válidos y confiables para evaluar la actividad (SLEDAI) y el daño acumulado (SLICC) en pacientes con LES28,29.
ProcedimientoLos pacientes fueron abordados durante su consulta reumatológica de rutina. Los que aceptaron participar en el estudio recibieron un sobre con el consentimiento informado, un formulario de datos sociodemográficos, una copia del LupusQoL y una copia de la escala GENCAT para que lo completaran en el centro clínico o se lo llevaran a casa para completarlo y lo entregaran dentro de una semana. Los pacientes que no sabían leer ni escribir recibieron ayuda para completar su sobre: por parte de los autores en el centro clínico, o de sus familiares si se lo llevaron a casa.
Posteriormente se obtuvieron los índices del SLEDAI y del SLICC de las historias clínicas de los últimos 6meses.
Análisis estadísticoLa fiabilidad se determinó mediante consistencia interna utilizando el coeficiente alfa de Cronbach. Se generaron los puntos de corte para el LupusQoL y la escala GENCAT a partir de un análisis de clases latentes que permite evidenciar una o más clases no observadas (latentes) con respecto a una variable. Aplicando un análisis de los valores del criterio de información bayesiano se comprobó que dos clases eran óptimas para ambos cuestionarios. Luego fueron estudiadas las medias y probabilidades marginales para las clases latentes, agrupando a cada paciente en alguna de las dos clases. A partir de ellas, mediante curvas de Características Operativas del Receptor (COR), se identificaron los puntos de corte para el LupusQoL (para cada dominio y el total) y para la escala GENCAT. Estos puntos de corte permitieron estratificar la CVRS de los pacientes en «mejor» o «peor». La validez convergente y discriminante se analizó mediante el coeficiente kappa de Cohen y el coeficiente de correlación de Spearman, respectivamente. Finalmente, la validez predictiva fue analizada mediante curvas de COR con los valores de SLEDAI y SLICC agrupados: <4 o ≥4 puntos y 0 o ≥1 puntos, respectivamente; se tomaron estos puntos de corte debido a que han sido utilizados en estudios previos de validación del LupusQoL de forma satisfactoria11-16,19. Se utilizó STATA versión 16 y SPSS versión 25 para el análisis estadístico. Se consideró un valor de p<0,05 como estadísticamente significativo.
ResultadosCaracterísticas sociodemográficasUn total de 100 pacientes con LES completaron los cuestionarios; 93% eran mujeres, la media de edad fue de 42años (DE: 13) y la media de duración de la enfermedad fue de 11años (DE: 9). La media de SLEDAI y SLICC fue de 3 y 1, respectivamente. El resto de las características sociodemográficas se muestran en la tabla 1.
Características sociodemográficas de los pacientes venezolanos con LES
| n=100 | |
|---|---|
| Sexo femenino, n (%) | 93 (93) |
| Media de edad, años (DE) | 42 (13) |
| Grado de instrucción, n (%) | |
| Analfabeta | 4 (4) |
| Primaria | 13 (13) |
| Secundaria | 40 (40) |
| Superior | 43 (43) |
| Media de tiempo de estudio, años (DE) | 12 (4) |
| Media de duración de la enfermedad, años (DE) | 11 (9) |
| SLEDAI, media (DE) | 3 (4,7) |
| SLICC, media (DE) | 1 (1) |
DE: desviación estándar.
La consistencia interna arrojó un resultado de 0,96 que demuestra la alta fiabilidad del LupusQoL.
Puntos de corteEl mayor porcentaje de pacientes clasificados correctamente (99%) fue obtenido con un valor de 64,55 puntos en el LupusQoL (área bajo la curva=0,99; sensibilidad: 100%; especificidad: 97,56%), sugiriendo que los pacientes con 64,55 puntos o más presentaron buena CVRS (fig. 1). Además, se obtuvieron los puntos de corte para cada dominio del LupusQoL (tabla 2).
Puntos de corte del LupusQoL en pacientes venezolanos con LES
| Dominios | Puntaje de los puntos de corte | Área bajo la curva | p | Pacientes clasificados correctamente (%) | Sensibilidad (%) | Especificidad (%) |
|---|---|---|---|---|---|---|
| Salud física | 56,25 | 0,993 | 0 | 97 | 100 | 89,6 |
| Dolor | 58,33 | 1 | 0 | 100 | 100 | 100 |
| Planificación | 66,66 | 1 | 0 | 100 | 100 | 100 |
| Relaciones íntimas | 65,2 | 1 | 0 | 100 | 100 | 100 |
| Carga para otros | 58,33 | 1 | 0 | 100 | 100 | 100 |
| Salud emocional | 54,16 | 0,99 | 0 | 99 | 98,65 | 100 |
| Imagen corporal | 70 | 0,99 | 0 | 98 | 97,3 | 100 |
| Fatiga | 56,35 | 0,99 | 0 | 98 | 100 | 95,24 |
| Total | 64,55 | 0,99 | 0 | 99 | 100 | 97,56 |
Para la escala GENCAT, el punto de corte que clasificó correctamente a la mayoría de los pacientes (95%) fue 67 puntos (área bajo la curva=0,98; sensibilidad: 92,73%; especificidad: 97,78%), por lo que los pacientes con un puntaje igual o mayor a esta cifra presentaron mejor calidad de vida (fig. 2). Posterior a la agrupación de los pacientes según los puntos de corte del LupusQoL y la escala GENCAT, se obtuvo una validez convergente moderada que fue estadísticamente significativa (coeficiente kappa de Cohen=0,556; p=0,000).
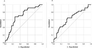
Validez discriminanteEl LupusQoL se correlacionó inversamente con el SLEDAI (rho=−3,27; p=0,001) (fig. 3A) y con el SLICC (rho=−0,246; p=0,014) (fig. 3B) de forma significativa.
Validez predictivaEl LupusQoL predijo discretamente la actividad de la enfermedad (SLEDAI) para valores ≥4 (área bajo la curva=0,704; sensibilidad: 74,24%; especificidad: 67,65%) (fig. 4A), clasificando al 72% de los pacientes. El LupusQoL predijo pobremente el daño acumulado (SLICC) para valores ≥1 (área bajo la curva=0,642; sensibilidad: 66,67%; especificidad: 52,94%) (fig. 4B), clasificando solo al 62% de los pacientes.
Los puntajes promedios para cada dominio del LupusQoL fueron comparados en pacientes con y sin actividad de la enfermedad (SLEDAI: <4 o ≥4 puntos), así como en pacientes con o sin daño acumulado (SLICC: 0 o ≥1 puntos) (tabla 3), encontrándose diferencias significativas entre ambos grupos en todos los dominios, excepto en «relaciones íntimas» para las escalas SLEDAI y SLICC y en «carga para otros» para la escala SLICC.
Puntaje del LupusQoL según la actividad de la enfermedad (SLEDAI) y el daño acumulado (SLICC) en pacientes venezolanos con LES
| Dominios | SLEDAI | pa | SLICC | pa | ||
|---|---|---|---|---|---|---|
| <4 | ≥4 | 0 | ≥1 | |||
| n=66 | n=34 | n=66 | n=34 | |||
| Salud física | 72,1 (24,0) | 58,2 (25,8) | 0,009 | 73,1 (21,1) | 56,3 (29,4) | 0,001 |
| Dolor | 67,2 (27,2) | 49,8 (25,4) | 0,003 | 67,0 (25,2) | 50,0 (29,4) | 0,003 |
| Planificación | 78,8 (26,4) | 65,0 (27,1) | 0,016 | 78,8 (24,6) | 65,0 (30,4) | 0,016 |
| Relaciones íntimas | 72,3 (29,4) | 65,1 (32,2) | 0,259 | 71,2 (28,6) | 67,3 (34,0) | 0,543 |
| Carga para otros | 64,5 (30,1) | 46,3 (35,0) | 0,008 | 61,4 (31,2) | 52,5 (35,5) | 0,2 |
| Salud emocional | 72,3 (24,7) | 53,9 (27,6) | 0,001 | 71,3 (24,4) | 55,8 (29,2) | 0,006 |
| Imagen corporal | 82,3 (22,8) | 66,2 (23,1) | 0,001 | 80,2 (23,4) | 70,4 (24,4) | 0,056 |
| Fatiga | 64,96 (23,43) | 50,92 (26,16) | 0,008 | 64,96 (22,22) | 50,92 (28,17) | 0,008 |
| Total | 71,81 (20,42) | 56,91 (22,51) | 0,001 | 70,99 (19,62) | 58,51 (24,81) | 0,007 |
En la última década, evaluar la CVRS de los pacientes con LES ha ganado gran interés11. Este estudio determina la validez de un instrumento específico que mide la CVRS de pacientes con LES (el LupusQoL) y es el primero en establecer los puntos de corte que estratifican la CVRS de estos pacientes en Venezuela. La CVRS de los pacientes con LES debe considerar tanto los dominios genéricos (bienestar físico, emocional y social) como los específicos (dolor, relaciones íntimas, imagen corporal, entre otros) afectados por la enfermedad30; esto asegura que los resultados de los dominios evaluados por un instrumento sean medidas objetivas de la CVRS.
En el presente estudio, el análisis del coeficiente alfa de Cronbach (0,96) demostró la alta fiabilidad del LupusQoL, en concordancia con estudios realizados en Latinoamérica11,30, Estados Unidos12, Europa2,10,13-15 y Asia16,17. Además, se encontró una convergencia moderada entre el LupusQoL y la escala GENCAT, similar a lo reportado por diversos estudios2,10-17 que obtuvieron buena convergencia entre los dominios equivalentes del LupusQoL y otras escalas genéricas. Es bien conocido que los cuestionarios genéricos presentan una modesta convergencia con los cuestionarios específicos, aunque midan diferentes parámetros de la CVRS11.
Por otra parte, se determinó que el LupusQoL discrimina levemente la actividad de la enfermedad medida por el SLEDAI y el daño acumulado medido por el SLICC en pacientes con LES. Los reportes actuales sobre la capacidad del LupusQoL de discriminar la actividad de la enfermedad y el daño acumulado son variables. Algunos estudios señalan que el LupusQoL no discrimina la actividad de la enfermedad11,31,32 o el daño acumulado11; sin embargo, la mayoría de los estudios presentan los resultados para cada dominio del cuestionario debido a que no fueron equivalentes entre ellos y no presentaron diferencias significativas en todos los dominios2,10,12-14,16,17. Estas discrepancias pueden ser debidas a muchas razones, incluidas las diferencias sociodemográficas y relacionadas con la enfermedad entre diferentes poblaciones.
El valor predictivo del LupusQoL demuestra que este cuestionario puede ser útil para predecir la actividad de la enfermedad y el daño acumulado, ya que se encontraron diferencias estadísticamente significativas entre ambos grupos en todos los dominios, excepto en «relaciones íntimas» para SLEDAI y SLICC y en «carga para otros» para SLICC. Esto contrasta con lo encontrado por Machado et al.11 quienes reportaron que el puntaje del LupusQoL fue inadecuado para predecir la actividad de la enfermedad y el daño acumulado; además, no reportaron diferencias significativas entre las puntuaciones para cada dominio de LupusQoL según la «mejor» o «peor» CVRS. Es necesario ampliar la investigación sobre estos hallazgos en el futuro para un mejor análisis.
Este estudio presenta algunas limitantes: primero, el 20% de los índices de SLEDAI se obtuvo de un periodo variable de uno a seis meses entre la fecha de aplicación de los instrumentos y los índices más recientes; segundo, no se midió la reproducibilidad del LupusQoL a través del test-retest.
En conclusión, el LupusQoL es válido como instrumento psicométricamente estable para medir la CVRS de los pacientes venezolanos con LES. Se establecieron los puntos de corte que permiten estratificar la CVRS de los pacientes venezolanos con LES, muy útiles para evaluar integralmente el curso de la evolución de la enfermedad en estos pacientes y su pronóstico.
FinanciaciónLa presente investigación no ha recibido ayudas específicas provenientes de agencias del sector público, sector comercial o entidades sin ánimo de lucro.
Conflicto de interesesLos autores declaran no tener ningún conflicto de intereses.










